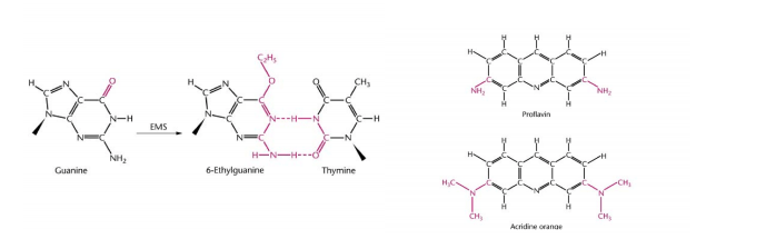
Mutasyon: Genomik yapıda meydana gelen değişikliklerin tümüne denir ve farklı yollarla oluşurlar
1. Baz değişimleri (nokta mutasyonları)
Transisyon: pirimidin –> pirimidin ya da pürin –> pürin yer değişikliğidir.
Transversiyon: pürin ↔ pirimidin yer değişikliğidir.
a) Silent (Sessiz) mutasyon: DNA üçlü (triplet) kodonunda bir nokta mutasyona rağmen kodondan
sentezlenen amino asit değişmez.
Ör: TTA –> TTG (Transisyonel silent mutasyon)
lösin lösin
b) Missense (Kayıp) Mutasyon: DNA üçlü (triplet) kodonunda bir nokta mutasyon sonrasında kodondan
sentezlenen aminoasit değişir.
Ör: GCA –> GAA (Transversiyonel missens mutasyon)
alanin glutamik asit
1 4 7 10 13 16 19
ATG GGA GCT CTA TTA ACC TAA
met gly ala leu leu thr stop
ATG GGA GCT CTA TTT ACC TAA
met gly ala leu phe thr stop
c) Nonsense Mutasyon: Üçlü (triplet) kodonda meydana gelen bir nokta mutasyon sonrasında kodon
STOP kodon oluşturur.
Ör: TTA –> TGA (Transversiyonel nonsense mutasyon)
alanin STOP
ATG GGA GCT CTA TTA ACC TAA
met gly ala leu leu thr stop
↓Non-sens
ATG GGA GCT CTA TGA ACC TAA
met gly ala leu Stop
↓tRNA supressör
ATG GGA GCT CTA TGA ACC TAA
met gly ala leu trp thr stop













Reblogged this on tabletkitabesi.